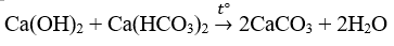
Cho dung dịch Ca(OH)2 vào dung dịch Ca(HCO3)2 sẽ có hiện tượng gì?
Tìm kiếm câu hỏi hóa học
Hãy nhập vào nội dung câu hỏi để bắt đầu tìm kiếm
Cho dung dịch Ca(OH)2 vào dung dịch Ca(HCO3)2 sẽ
Cho dung dịch Ca(OH)2 vào dung dịch Ca(HCO3)2 sẽ
Câu hỏi:
Nguồn: SGK Hóa 12
Hướng dẫn giải
Cho dung dịch Ca(OH)2 vào dung dịch Ca(HCO3)2 sẽ có hiện tượng kết tủa trắng.

Total rating:
Rating: / 5 star
Các câu hỏi hoá học liên quan
Đốt cháy hoàn toàn 4,16g hỗn hợp X gồm RCOOH và RCOOC2H5 thu được 4,256l CO2 và 2,52g H2O. Mặt khác 2,08g hỗn hợp X phản ứng với lượng vừa đủ dung dịch NaOH, thu được 0,46g ancol và m g muối. Tìm m?
Đốt cháy hoàn toàn 4,16g hỗn hợp X gồm RCOOH và RCOOC2H5 thu được 4,256l CO2 và 2,52g H2O. Mặt khác 2,08g hỗn hợp X phản ứng với lượng vừa đủ dung dịch NaOH, thu được 0,46g ancol và m g muối. Tìm m?
Hoà tan hết hỗn hợp gồm 0,01 mol Cu2S; 0,04 mol FeCO3 và x mol FeS2 bằng dung dịch HNO3 vừa đủ. Sauk hi các phản ứng xảy ra hoàn toàn, thu được V lít hỗn hợp hai khí, trong đó có một khí màu nâu đỏ và dung dịch chỉ chứa muối Cu2+; Fe3+ với một anion. Tìm V?
Hoà tan hết hỗn hợp gồm 0,01 mol Cu2S; 0,04 mol FeCO3 và x mol FeS2 bằng dung dịch HNO3 vừa đủ. Sauk hi các phản ứng xảy ra hoàn toàn, thu được V lít hỗn hợp hai khí, trong đó có một khí màu nâu đỏ và dung dịch chỉ chứa muối Cu2+; Fe3+ với một anion. Tìm V?
Nung m g hỗn hợp X gồm Fe, Fe(NO3)2, Fe(NO3)3 và FeCO3 trong bình kín không có không khí. Sau khi phản ứng xảy ra hoàn toàn, thu được chất rắn Y và khí Z, Z có tỉ khối so với H2 là 22,5. Cho Y hoà tan hoàn toàn trong dung dịch chứa 0,02 mol NaNO3 và 0,6 mol HCl thu được dung dịch chứa 34,64 g chất tan và V lít hỗn hợp 2 khí có tỉ khối so với H2 là 8.
Nung m g hỗn hợp X gồm Fe, Fe(NO3)2, Fe(NO3)3 và FeCO3 trong bình kín không có không khí. Sau khi phản ứng xảy ra hoàn toàn, thu được chất rắn Y và khí Z, Z có tỉ khối so với H2 là 22,5. Cho Y hoà tan hoàn toàn trong dung dịch chứa 0,02 mol NaNO3 và 0,6 mol HCl thu được dung dịch chứa 34,64 g chất tan và V lít hỗn hợp 2 khí có tỉ khối so với H2 là 8. Tìm m?
Tripeptit mạch hở X và tetrapeptit mạch hở Y đều được tạo ra từ một amino axit no, mạch hở có 1 nhóm –COOH và 1 nhóm –NH2. Đốt cháy hoàn toàn 0,2 mol X thu được sản phẩm gồm CO2, H2O, N2 trong đó khối lượng CO2, H2O là 109,8g. Để đốt cháy hoàn toàn 0,3 mol Y cần bao nhiêu mol O2
Tripeptit mạch hở X và tetrapeptit mạch hở Y đều được tạo ra từ một amino axit no, mạch hở có 1 nhóm –COOH và 1 nhóm –NH2. Đốt cháy hoàn toàn 0,2 mol X thu được sản phẩm gồm CO2, H2O, N2 trong đó khối lượng CO2, H2O là 109,8g. Để đốt cháy hoàn toàn 0,3 mol Y cần bao nhiêu mol O2
Đốt cháy hoàn toàn m g hỗn hợp hai este X1, X2 là đồng phân của nhau cần dung 19,6g O2; thu được 11,76 lít CO2 (dktc) và 9,45g H2O. Mặt khác nếu cho m g hỗn hợp trên tác dụng hết với 200ml dung dịch NaOH 1M rồi cô can dung dịch sau phản ứng còn lại 13,95g chất rắn khan Tìm tỉ lệ mol của X1:X3
Đốt cháy hoàn toàn m g hỗn hợp hai este X1, X2 là đồng phân của nhau cần dung 19,6g O2; thu được 11,76 lít CO2 (dktc) và 9,45g H2O. Mặt khác nếu cho m g hỗn hợp trên tác dụng hết với 200ml dung dịch NaOH 1M rồi cô can dung dịch sau phản ứng còn lại 13,95g chất rắn khan Tìm tỉ lệ mol của X1:X3
Interesting facts about chemistry you may not know
Interesting facts about hydrogen - the lightest element in the periodic table.
Hydrogen is the first element in the periodic system table. Hydrogen is known to be the lightest of all, the most abundant in the Universe, the essential element for life
View moreInteresting facts about helium
Helium is the first rare gas element in the periodic system table. In the Universe, it ranks second in abundance after elemental hydrogen.
View moreInteresting facts about lithium
Lithium is the alkali metal element, located in the third cell in the periodic table system. Lithium is the lightest of all solid metals and can cut a knife.
View moreInteresting Facts About Beryllium
Beryllium is the lightest alkaline earth metal. Beryllium is found in precious stones such as emeralds and aquamarine. Beryllium and its compounds are both carcinogenic.
View moreInteresting Facts About Carbon
Carbon is the non-metallic element in the sixth cell in the periodic system table. Carbon is one of the most important elements in all life, it is also known as the back.
View more